当前位置: 开云online(中国) >> 学院新闻 >> 正文

开云手机站登录入口理论物理研究所李伟佳和付伟杰课题组在Nature Communications合作发表近似对称性自发破缺及其临界现象的工作


发布时间:2025-03-26    来源:    点击量:



对称性及其自发破缺的概念在现代物理学中扮演着十分重要的角色。通常,当连续的整体对称性破缺时,系统中会出现Goldstone玻色子这种无能隙的激发模式。而现实中,有些对称性并不精确。此时,原本无能隙的激发会获得轻微的质量,称为“赝 Goldstone 玻色子”。这些软模式广泛存在于具有较高能量的夸克-胶子物质和各种低能量的凝聚态系统中,并控制着系统较大尺度下的行为。

赝 Goldstone模式通常具有较为普适的性质,如,上世纪60年代,在QCD(量子色动力学)的研究中发现Pi介子 (手征破缺对应的赝Goldstone玻色子)质量和夸克流质量满足著名的Gell-Mann-Oakes-Renner (GMOR)关系;本世纪初,同样在QCD系统中发现了Pi介子的极质量-屏蔽质量关系等。这些具有普适形式的关系共同决定了赝Goldstone玻色子色散关系实部的具体形式。而近期,在全息固体的研究中又发现赝Goldstone玻色子的弛豫(对应其色散关系的虚部)与其质量满足一个特殊的关系(见示意图一)。此后,该关系的普适性在其他的全息以及场论系统中得到广泛的验证。但这些研究中,非平衡涨落的效应均被忽略。

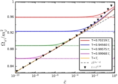
近日,我院理论物理研究所李伟佳与付伟杰课题组合作,通过将Schwinger-Keldysh路径积分与泛函重整化群(fRG)结合,保留了系统的非平衡涨落效应。并基于具有近似对称性的临界动力学模型,首次研究了非平衡涨落对赝Goldstone玻色子在临界区域的弛豫行为的影响。结果显示,原有的赝Goldstone弛豫-质量关系不再成立。该工作提出了一个全新的适用于临界区域的弛豫-质量关系(见图二);此外,该研究还发现,赝Goldstone玻色子动力学的传播部分和弛豫部分在临界区域也呈现出成比例协调递减的效应。这一现象与其在远离临界区域的行为完全不同。

这些结果对于我们理解强耦合系统中的输运现象以及实时演化等方面具有重要意义。由于它们的形式不依赖于系统的微观细节及破缺对称性的类型,具有很强的普适性。因此,有望在未来凝聚态和QCD等的实验中得到验证。

图一 自发对称破缺下,赝Goldstone玻色子弛豫的示意图

图二 赝Goldstone玻色子的弛豫与质量平方的比值,在不同温度下与显式破缺强度的标度关系。该结果揭示了一个全新的弛豫-质量关系。

该工作以《Universality of pseudo-Goldstone damping near critical points》为题,于近期在国际知名期刊Nature Communications上正式发表。在该工作中,2021级博士生谈阳阳和2019级博士生陈永睿为共同第一作者,付伟杰教授和李伟佳副教授为共同通讯作者,大连理工大学为第一通讯单位。该研究得到国家自然科学基金委、大连理工大学和中国科学院彭桓武理论物理创新研究中心青年科学家访问计划相关项目的资助。

论文链接:https://www.nature.com/articles/s41467-025-58170-1

版权所有:开云手机站登录入口 地址:中国 · 辽宁省大连市甘井子区凌工路2号

 

邮编:116024 电话:0411-84708370